Difference between revisions of "Helley-Smith sampler (HS)"
Leovanrijn (talk | contribs) |
Leovanrijn (talk | contribs) |
||
| Line 28: | Line 28: | ||
[[Image:H5513figure1.jpg|thumb|left|Helley-Smith sampler]] | [[Image:H5513figure1.jpg|thumb|left|Helley-Smith sampler]] | ||
| − | + | [[Image:H5513figure2.jpg|right|Calibration curves of Helley-Smith sampler]] | |
| − | |||
| − | |||
| − | |||
| − | |||
| − | |||
| − | |||
| − | |||
| − | |||
| − | |||
| − | |||
| − | |||
| − | |||
| − | |||
| − | |||
| − | |||
| − | |||
| − | |||
| − | |||
| − | |||
| − | |||
| − | |||
| − | |||
| − | |||
| − | |||
| − | |||
| − | |||
| − | |||
| − | |||
| − | |||
| − | |||
| − | |||
| − | |||
| − | |||
| − | |||
| − | |||
| − | |||
| − | |||
| − | |||
| − | |||
| − | |||
| − | [[Image:H5513figure2.jpg| | ||
Revision as of 09:08, 3 June 2007
Contents
Helley Smith sampler (HS)
The Helley-Smith bed-load sampler is a modified version of the BTMA-sampler (Helley and Smith, 1971). The Helley-Smith sampler consists of a nozzle, sample bag and frame (Figure 1). The sampler has a square entrance nozzle (0.076 x 0.076 m) and a sample bag constructed of 250 um-mesh polyester. Several different versions of the sampler have been used for various field conditions. Larger nozzles are generally used to sample larger sediment sizes and heavier samplers become necessary as deeper and faster rivers are sampled. An important advantage of the Helley-Smith sampler is the extensive calibration (based on about 10,000 samples) and its simple operation. The bed-load transport (in kg/sm) can be determined as:
Sb =k s (1-p) V/(bT) or Sb= G/(bT)
in which: k= calibration factor, p= porosity factor (= 0.4), s= density of sediment particles (= 2650 kg/m3), V= immersed volume of sediment catch (m3), G= dry mass of sediment catch (kg), b= width of intake opening=0.0762 m), T = sampling period (s).
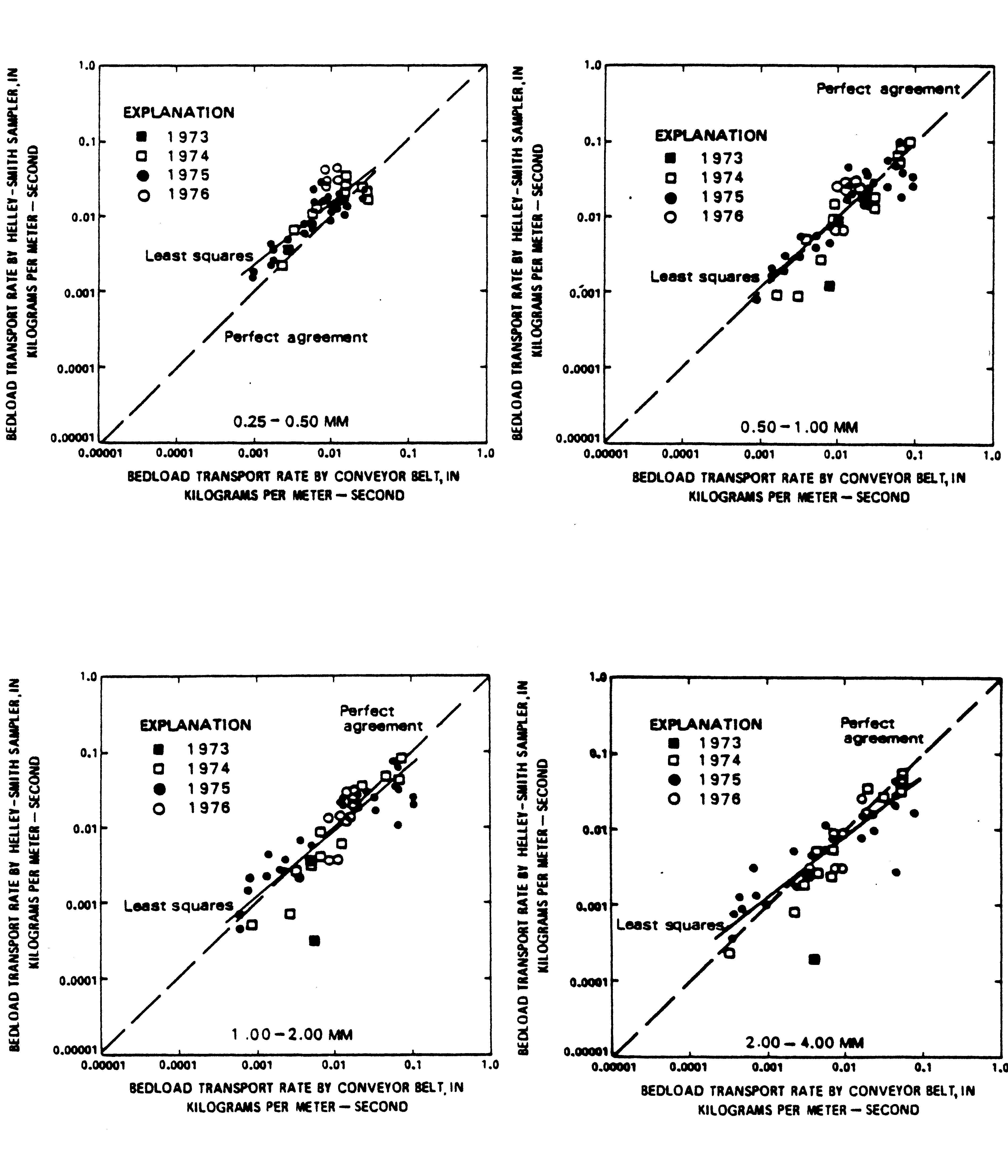
Figures 2 and 3 present calibration curves relating the sediment catches and the actual transport rates for various size fractions. The actual transport rate has been assumed to be represented by simultaneous measurements with a conveyer belt system just downstream of the sampling position of the Helley-Smith sampler (Emmett, 1980). The conveyer-belt trap consists of a concrete slot (width = 0.4 m, depth = 0.6 m) in the channel bed, orthogonal to the flow direction. Along the bottom of the concrete slot passes an endless belt of rubber (width = 0.3 m). Sediment falling into the open slot drops on the moving belt, and is carried laterally to the riverbank where it is scraped off the belt, weighted and returned to the river flow (depth = 1.2 m, width = 15 m, discharge = 20 m(sup>3/s). Based on Figures 2 and 3, Emmet (1980) concluded that the Helley-Smith Sampler has an efficiency of 100% (calibration factor, k = 1) for particle sizes in the range of 0.5 mm to 16 mm. For particles in the range of 0.25 to 0.5 mm the efficiency is found to be about 175%. (resulting in a calibration factor k= 0.5) which is assumed to be caused by the collection of suspended sediment particles. For particles in the range of 16 to 32 mm the efficiency is found to be about 70% (resulting in a calibration factor k = 1.5) which is assumed to be caused by the paucity of large particles moving as bed load in the flow.
Summarizing: k= 0.5, for particles in the range of 0.25 to 0.5 mm, k= 1.0, for particles in the range of 0.5 to 16 mm, k= 1.5, for particles in the range of 16 to 32 mm.
More information of the calibration of bed load samplers is given by Hubbell et al., 1985.
The accuracy of the measured bed-load transport is strongly dependent on the accuracy of the calibration factor, the number of measurements and the sampling procedure (skilled personel). Assuming ideal sampling, at least 20 samples must be collected at each location to obtain a bed-load transport rate with a standard deviation (error) of about 20% (De Vries, 1973). In practice the sampling error will be considerably larger (say 100%) particularly due to the sampling procedure (see also Hubbell et al. 1985).
Photographs and Figures
References
Delft Hydraulics, 1996. Test measurements of Helley Smith and modified Helly Smith (in Dutch). Report Q 2141, Delft, The Netherlands.
Delft Hydraulics, 1997. Calibration and comparison of Helley Smith. Report Q 2345,Delft, The Netherlands.
De Vries, M., 1973. On Measuring Discharge and Sediment Transport in River Flow. Delft Hydraulics Laboratory, Publication No. 106, The Netherlands.
Emmett, W.W., 1980. A Field Calibration of the Sediment Trapping Characteristics of the Helley-Smith Bed Load Sampler. Geological Survey Professional Paper 1139, Washington, USA.
Helley, E.J. and Smith, W., 1971. Development and Calibration of a Pressure-Difference Bed Load Sampler. U.S. Geological Survey Open File Report, Washington, USA.
Hubbell, D.W., Stevens, H.H., Skinner, J.V. and Beverage, J.P., 1985. New Approach to Calibrating Bed Load Samplers. Journal of Hydraulic Engineering, Vol.111, No.4.
See also
Other contributions of Leo van Rijn
articles with parts of the manual
- INTRODUCTION, PROBLEMS AND APPROACHES IN SEDIMENT TRANSPORT MEASUREMENTS
- DEFINITIONS, PROCESSES AND MODELS IN MORPHOLOGY
- PRINCIPLES, STATISTICS AND ERRORS OF MEASURING SEDIMENT TRANSPORT
- COMPUTATION OF SEDIMENT TRANSPORT AND PRESENTATION OF RESULTS
- MEASURING INSTRUMENTS FOR SEDIMENT TRANSPORT
- MEASURING INSTRUMENTS FOR PARTICLE SIZE AND FALL VELOCITY
- MEASURING INSTRUMENTS FOR BED MATERIAL SAMPLING
- LABORATORY AND IN-SITU ANALYSIS OF SAMPLES
- IN-SITU MEASUREMENT OF WET BULK DENSITY
- INSTRUMENTS FOR BED LEVEL DETECTION
- ARGUS VIDEO
- MEASURING INSTRUMENTS FOR FLUID VELOCITY, PRESSURE AND WAVE HEIGHT
External links
Crediting the authors
Please note that others may also have edited the contents of this article.
|
[[Category:Articles by {{{AuthorFullName}}}]]
Please note that others may also have edited the contents of this article.
|
[[Category:Articles by {{{AuthorFullName}}}]]
