File:Equation3.png

From Coastal Wiki
Revision as of 14:55, 4 April 2007 by Cohen (talk | contribs) (Argus Equation3)
(diff) ← Older revision | Latest revision (diff) | Newer revision → (diff)
Jump to: navigation, search
Original file(238 × 606 pixels, file size: 23 KB, MIME type: image/png)

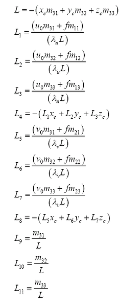
Argus Equation3

File history

Click on a date/time to view the file as it appeared at that time.

Date/TimeThumbnailDimensionsUserComment
current14:55, 4 April 2007Thumbnail for version as of 14:55, 4 April 2007238 × 606 (23 KB)Cohen (talk | contribs)Argus Equation3
  • You cannot overwrite this file.

The following page links to this file:

Metadata